先将上表数据按直角坐标作出图22-2。从该图的点子分布可以看出,尿中雌三醇浓度愈高,新生儿体重愈大;这群点子的分布基本上呈直线趋势。

图22-2 待产妇尿雌三醇含量与产儿出生体重相关图
(一)相关系数(correlation coefficient)
相关系数是表示两个变量(X,Y)之间线性关系密切程度的指标,用r表示,其值在-1至+1间。如两者呈正相关,r呈正值,r=1时为完全正相关;如两者呈负相关则r呈负值,而r=-1时为完全负相关。完全正相关或负相关时,所有图点都在直线回归线上;点子的分布在直线回归线上下越离散,r的绝对值越小。当例数相等时,相关系数的绝对值越接近1,相关越密切;越接近于0,相关越不密切。当r=0时,说明X和Y两个变量之间无直线关系。计算相关系数的公式为:

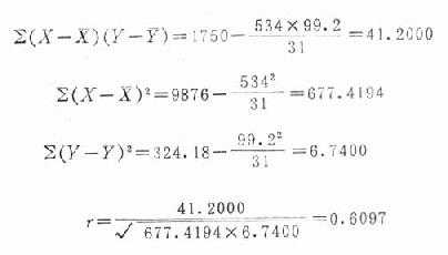
为了获得公式22.2中各数据,先将表22-1资料进行计算如表22-2。
从表22-2的计算获得
ΣX=534 ΣX2=9876 ΣY=99.2ΣY2=324.18 ΣXY=1750
N=31
按这些数据进一步以下演算求r。

(二)相关系数的假设检验
本例题31例,只是总体中一个样本,由此求得的相关系数,必然存在抽样误差。总体相关系数为零(ρ=0)时,从这总体中抽出31例,因为抽样误差,r也可能不等于0。氙以要判断该样本r是否有意义,需与总体相关系数,ρ=0比较,看两者的差别有无统计不学意义。
相关系数的假设检验,可用t检验,公式如下:

公式(22.2)
自由度v=n-2
H0:ρ=0
H1:ρ≠0
α=0.05
本例r=0.6097,n=31,代入公式(22.2)
表22-2 相关系数计算表
| 尿雌三醇X(mg/24h)(1) | X2(2) | 初生儿体重Y(kg)(3) | Y2(4) | XY(5) |
| 7 | 49 | 2.5 | 6.25 | 17.5 |
| 9 | 81 | 2.5 | 6.25 | 22.5 |
| 9 | 81 | 2.5 | 6.25 | 22.5 |
| 12 | 144 | 2.7 | 7.29 | 32.4 |
| 14 | 196 | 2.7 | 7.29 | 37.8 |
| 16 | 256 | 2.7 | 7.29 | 43.2 |
| 16 | 256 | 2.4 | 5.76 | 38.4 |
| 14 | 196 | 3.0 | 9.00 | 42.0 |
| 16 | 256 | 3.0 | 9.00 | 48.0 |
| 16 | 256 | 3.1 | 9.61 | 49.6 |
| 17 | 289 | 3.0 | 9.00 | 51.0 |
| 19 | 361 | 3.1 | 9.61 | 58.9 |
| 21 | 441 | 3.0 | 9.00 | 63.0 |
| 24 | 576 | 2.8 | 7.84 | 67.2 |
| 15 | 225 | 3.2 | 10.24 | 48.0 |
| 16 | 256 | 3.2 | 10.24 | 51.2 |
| 17 | 289 | 3.2 | 10.24 | 54.4 |
| 25 | 625 | 3.2 | 10.24 | 80.0 |
| 27 | 729 | 3.4 | 11.56 | 91.8 |
| 15 | 225 | 3.4 | 11.56 | 51.0 |
| 15 | 225 | 3.4 | 11.56 | 51.0 |
| 15 | 225 | 3.5 | 12.25 | 52.5 |
| 16 | 256 | 3.5 | 12.25 | 56.0 |
| 19 | 361 | 3.4 | 11.56 | 64.6 |
| 18 | 324 | 3.5 | 12.25 | 63.0 |
| 17 | 289 | 3.6 | 12.96 | 61.2 |
| 18 | 324 | 3.7 | 13.69 | 66.6 |
| 20 | 400 | 3.8 | 14.44 | 76.0 |
| 22 | 484 | 4.0 | 16.02 | 88.0 |
| 25 | 625 | 3.9 | 15.21 | 97.5 |
| 24 | 576 | 4.3 | 18.49 | 103.2 |
| 534 | 9876 | 99.2 | 324.18 | 1750.0 |

V=31-2=29
查t值表,t0.01(29)=2.756,本例tr=4.1423>t0.01(29),P<0.01,按α=0.05水准拒绝H0,接受H1,可以认为临产妇24小时尿中雌三醇浓度与初生儿体重有正相关关系。
如果不用t检验,可以根据v查相关系数r界值表(附表22-1)。本例v=29,查表得知r0.01(29)值为0.456,而本例r=0.6097>r0.01(29),故P<0.01,与上述t检验的结果一致。

